Aim

pMT06 (the pDNA library) was transfected into MCF7 cells that are either TP53 proficient or TP53-KO - 24 hours later mRNA was isolated and barcodes were quantified by sequencing together with pMT06 pDNA counts. This was done in three independent replicates. In this script the barcode counts will be analyzed and some quality checks will be done.


Setup

Libraries

Functions

Loading data

Creating count data frames


Read distribution

The read distribution plots show that the pDNA samples are uniformly distributed. They also show that the MCF7-TP53-WT cells have highly active TP53 reporters, while random reporters got a lot of reads in the MCF7-TP53-KO cells.


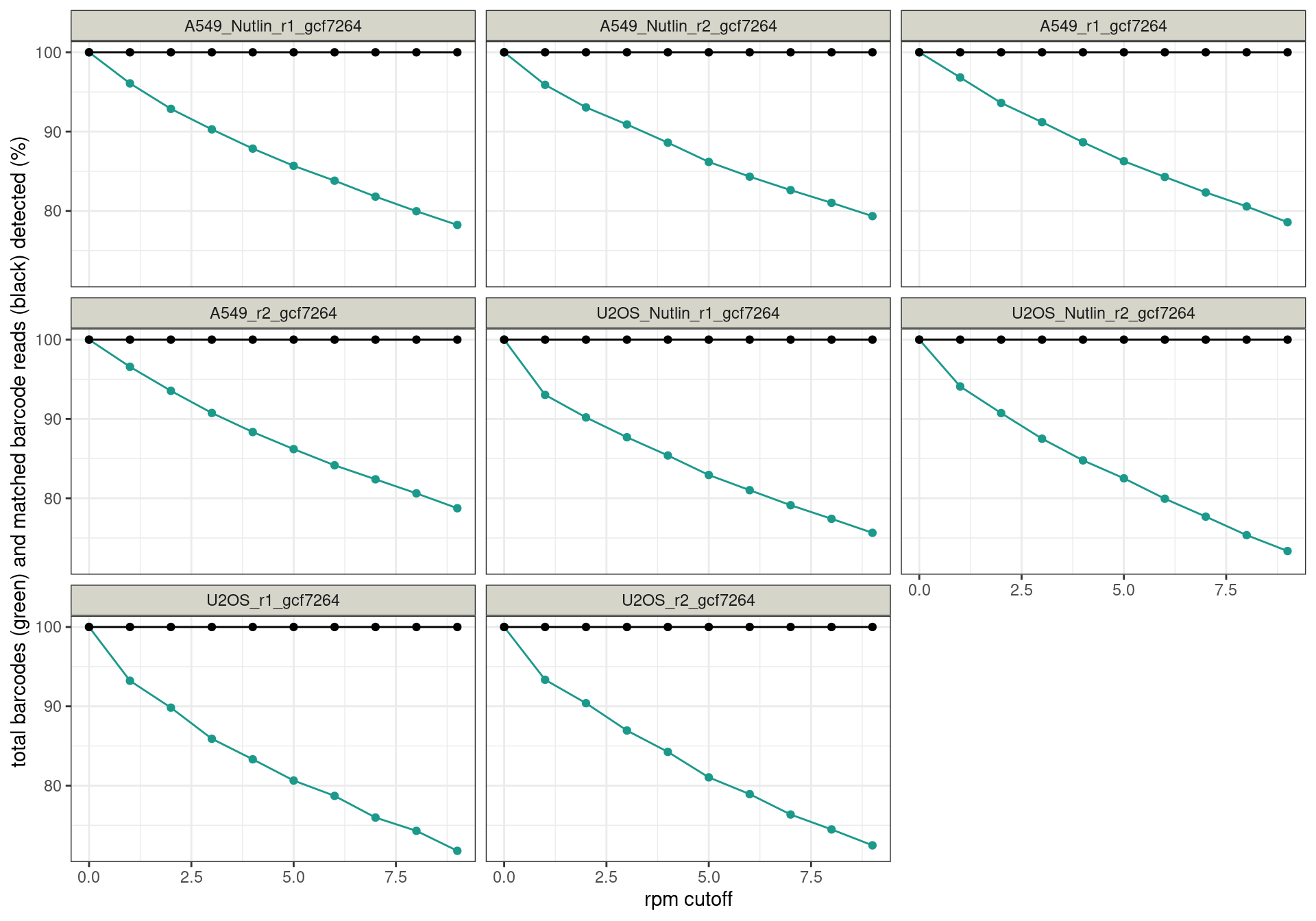
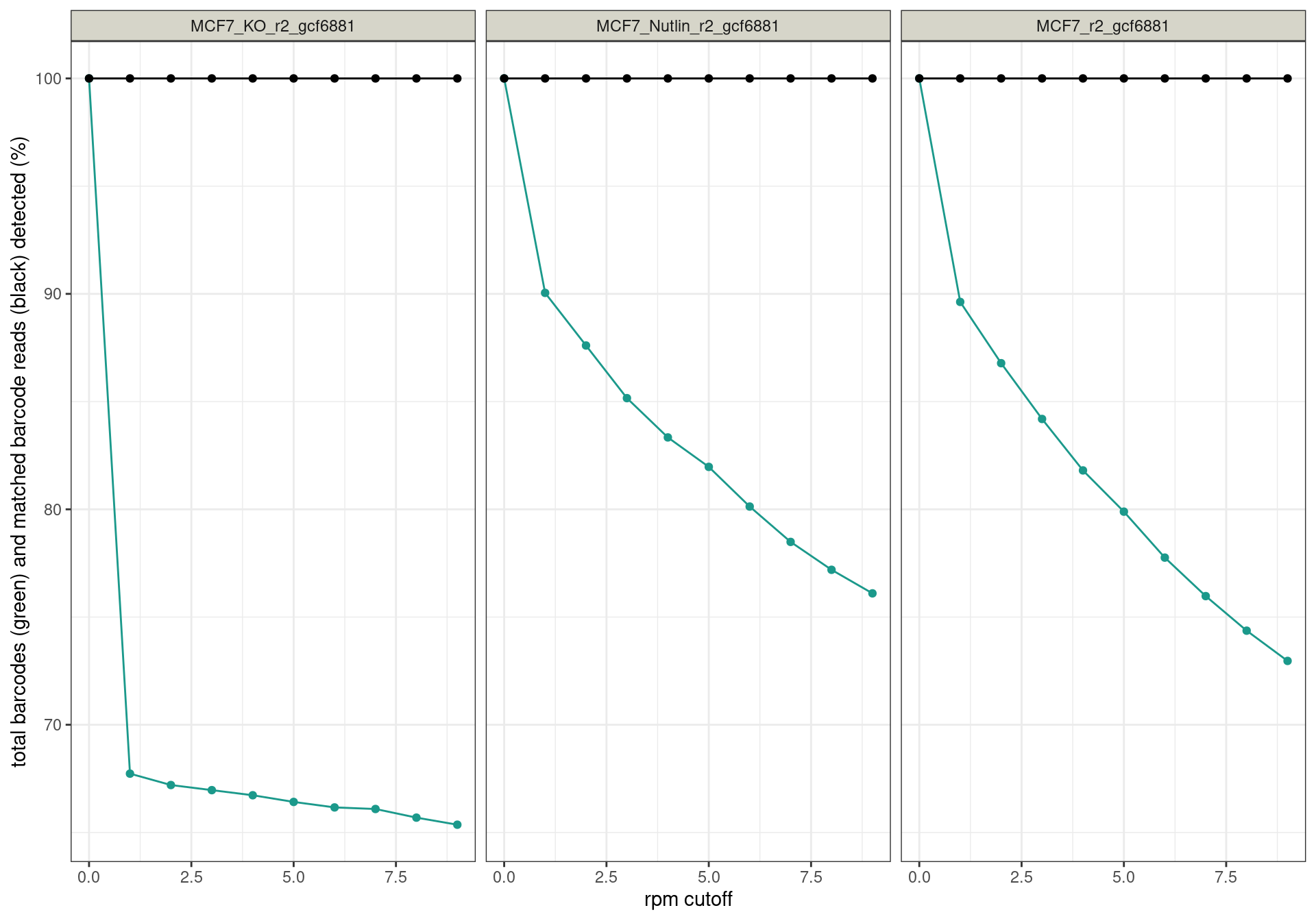
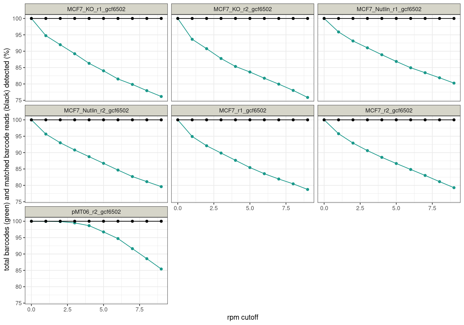
Read distribution per cutoff

Conclusion: All reads are matched to barcodes that come from the reporter library. Very good. All barcodes can be found back. At a cutoff of ~5 rpm, already ~10% of the barcodes are lost. I guess this is to be expected.


pDNA-cDNA correlation

Conclusion: None of the samples correlate with the pDNA input, which means that we are actually measuring the abundance of transcribed barcodes in the cDNA.


Replicate correlation

The read counts highly correlate!


Annotation of the reporters


Normalization of barcode counts:

Divide cDNA barcode counts through pDNA barcode counts


Characterize reporter activities


Filtering data


Technical replicate correlations

Data correlates very well.

Export data


Session Info

paste("Run time: ",format(Sys.time()-StartTime))
## [1] "Run time:  7.879501 mins"
getwd()
## [1] "/DATA/usr/m.trauernicht/projects/P53_reporter_scan/docs"
date()
## [1] "Wed Jun 14 09:41:56 2023"
sessionInfo()
## R version 4.0.5 (2021-03-31)
## Platform: x86_64-pc-linux-gnu (64-bit)
## Running under: Ubuntu 20.04.6 LTS
## 
## Matrix products: default
## BLAS:   /usr/lib/x86_64-linux-gnu/openblas-pthread/libblas.so.3
## LAPACK: /usr/lib/x86_64-linux-gnu/openblas-pthread/liblapack.so.3
## 
## locale:
##  [1] LC_CTYPE=en_US.UTF-8       LC_NUMERIC=C               LC_TIME=en_US.UTF-8        LC_COLLATE=en_US.UTF-8     LC_MONETARY=en_US.UTF-8    LC_MESSAGES=en_US.UTF-8    LC_PAPER=en_US.UTF-8      
##  [8] LC_NAME=C                  LC_ADDRESS=C               LC_TELEPHONE=C             LC_MEASUREMENT=en_US.UTF-8 LC_IDENTIFICATION=C       
## 
## attached base packages:
##  [1] stats4    grid      parallel  stats     graphics  grDevices utils     datasets  methods   base     
## 
## other attached packages:
##  [1] ggrastr_1.0.1               jtools_2.1.4                glmnetUtils_1.1.8           glmnet_4.1-4                Matrix_1.5-1                randomForest_4.6-14        
##  [7] ROCR_1.0-11                 cowplot_1.1.1               ggforce_0.3.3               maditr_0.8.3                PCAtools_2.2.0              ggrepel_0.9.1              
## [13] DESeq2_1.30.1               SummarizedExperiment_1.20.0 Biobase_2.50.0              MatrixGenerics_1.2.1        matrixStats_0.62.0          GenomicRanges_1.42.0       
## [19] GenomeInfoDb_1.26.7         IRanges_2.24.1              S4Vectors_0.28.1            BiocGenerics_0.36.1         tidyr_1.2.0                 viridis_0.6.2              
## [25] viridisLite_0.4.0           ggpointdensity_0.1.0        ggbiplot_0.55               scales_1.2.0                factoextra_1.0.7.999        shiny_1.7.1                
## [31] pheatmap_1.0.12             gridExtra_2.3               RColorBrewer_1.1-3          readr_2.1.2                 haven_2.5.0                 ggbeeswarm_0.6.0           
## [37] plotly_4.10.0               tibble_3.1.6                dplyr_1.0.8                 vwr_0.3.0                   latticeExtra_0.6-29         lattice_0.20-41            
## [43] stringdist_0.9.8            GGally_2.1.2                ggpubr_0.4.0                ggplot2_3.4.0               stringr_1.4.0               plyr_1.8.7                 
## [49] data.table_1.14.2          
## 
## loaded via a namespace (and not attached):
##   [1] backports_1.4.1           lazyeval_0.2.2            splines_4.0.5             crosstalk_1.2.0           BiocParallel_1.24.1       digest_0.6.29             foreach_1.5.2            
##   [8] htmltools_0.5.2           fansi_1.0.3               magrittr_2.0.3            memoise_2.0.1             tzdb_0.3.0                annotate_1.68.0           vroom_1.5.7              
##  [15] prettyunits_1.1.1         jpeg_0.1-9                colorspace_2.0-3          blob_1.2.3                gitcreds_0.1.1            xfun_0.30                 crayon_1.5.1             
##  [22] RCurl_1.98-1.6            jsonlite_1.8.0            genefilter_1.72.1         iterators_1.0.14          survival_3.2-10           glue_1.6.2                polyclip_1.10-0          
##  [29] gtable_0.3.0              zlibbioc_1.36.0           XVector_0.30.0            DelayedArray_0.16.3       car_3.0-12                BiocSingular_1.6.0        shape_1.4.6              
##  [36] abind_1.4-5               DBI_1.1.2                 rstatix_0.7.0             Rcpp_1.0.8.3              progress_1.2.2            xtable_1.8-4              dqrng_0.3.0              
##  [43] bit_4.0.4                 rsvd_1.0.5                htmlwidgets_1.5.4         httr_1.4.2                ellipsis_0.3.2            farver_2.1.0              pkgconfig_2.0.3          
##  [50] reshape_0.8.9             XML_3.99-0.9              sass_0.4.1                locfit_1.5-9.4            utf8_1.2.2                labeling_0.4.2            tidyselect_1.1.2         
##  [57] rlang_1.0.6               reshape2_1.4.4            later_1.3.0               AnnotationDbi_1.52.0      munsell_0.5.0             tools_4.0.5               cachem_1.0.6             
##  [64] cli_3.4.1                 generics_0.1.2            RSQLite_2.2.12            broom_0.8.0               evaluate_0.15             fastmap_1.1.0             yaml_2.3.5               
##  [71] knitr_1.38                bit64_4.0.5               pander_0.6.5              purrr_0.3.4               sparseMatrixStats_1.2.1   mime_0.12                 compiler_4.0.5           
##  [78] rstudioapi_0.13           beeswarm_0.4.0            png_0.1-7                 ggsignif_0.6.3            tweenr_1.0.2              geneplotter_1.68.0        bslib_0.3.1              
##  [85] stringi_1.7.6             highr_0.9                 forcats_0.5.1             vctrs_0.5.1               pillar_1.7.0              lifecycle_1.0.3           jquerylib_0.1.4          
##  [92] bitops_1.0-7              irlba_2.3.5               httpuv_1.6.5              R6_2.5.1                  promises_1.2.0.1          vipor_0.4.5               codetools_0.2-18         
##  [99] MASS_7.3-53.1             assertthat_0.2.1          withr_2.5.0               GenomeInfoDbData_1.2.4    hms_1.1.1                 beachmat_2.6.4            rmarkdown_2.13           
## [106] DelayedMatrixStats_1.12.3 carData_3.0-5